Publishing Contract For Ebook Authors
Ebook Publishing Contracts: A Guide for Authors
Navigating the world of ebook publishing can be exciting, but it’s crucial to understand the legal landscape. A publishing contract outlines the terms and conditions between an author and a publisher (or even a self-publishing aggregator). Careful review and negotiation are essential to protect your rights and ensure a fair deal. Here’s a breakdown of key clauses to consider:
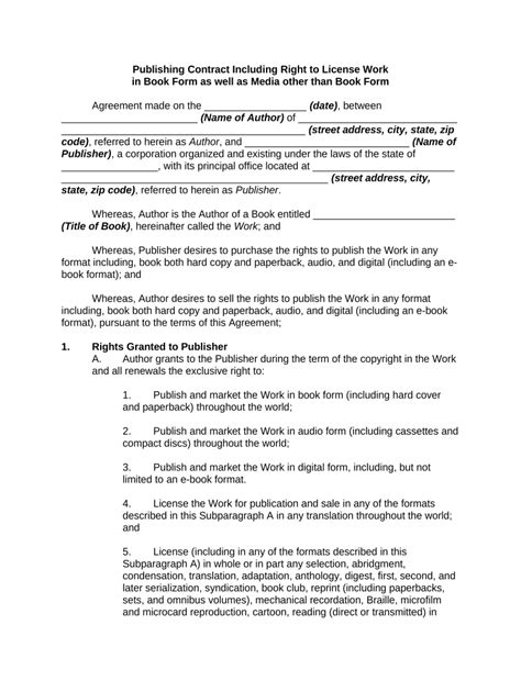
Rights Granted
This section is the cornerstone of the contract. It specifies exactly which rights you’re granting to the publisher. Be precise and limit the grant as much as possible. Common rights include:
- Ebook Rights: The core of the agreement. Does it encompass all ebook formats (e.g., .epub, .mobi, .pdf)?
- Territorial Rights: Where can the ebook be sold? Worldwide rights are common, but consider limiting it to specific regions if you retain other rights.
- Language Rights: Does the publisher have the right to translate the ebook into other languages? If so, negotiate royalties for translated editions.
- Subsidiary Rights: These can include audiobook, print-on-demand, film/TV adaptation, and merchandising rights. Unless the publisher has a clear plan and expertise in these areas, consider retaining these rights.
- Exclusive vs. Non-Exclusive: An exclusive agreement means you can’t license the same rights to anyone else for the duration of the contract. A non-exclusive agreement allows you to work with multiple publishers. Exclusive agreements generally command higher royalties but limit your options.
Pay close attention to the duration of the rights grant. How long does the publisher have these rights? A typical term might be the life of the copyright plus a certain number of years, or a fixed term like 5 or 10 years. Consider negotiating for a reversion clause that allows you to regain the rights if the ebook ceases to be commercially viable (e.g., if sales fall below a certain threshold).
Royalties and Payment
This section determines how much you get paid for each ebook sold. Ebook royalties are typically a percentage of the net revenue (revenue after deducting retailer fees) or list price. Standard royalty rates range from 25% to 70% of net revenue, with self-publishing platforms often offering higher rates. Key considerations:
- Royalty Rate: Understand how the royalty is calculated (net revenue vs. list price). What percentage will you receive? Are there different rates for different territories or sales channels?
- Payment Schedule: How often will you be paid? Monthly, quarterly, or semi-annually? What is the minimum threshold for payment (e.g., $50)?
- Reporting: How will you receive sales reports? Ensure you have access to detailed reports that show sales figures, returns, and royalties earned.
- Returns and Reserves: Ebook retailers often allow customers to return ebooks. The contract should address how returns are handled and whether the publisher will hold a reserve against future returns. Reasonable reserves are common, but they shouldn’t be excessive or held for an unreasonable length of time.
Carefully examine the definition of “net revenue.” What deductions are allowed? Are marketing expenses deducted? Transparency in financial reporting is vital.
Author’s Warranties and Indemnification
This clause requires you to guarantee that you are the sole author of the work, that it doesn’t infringe on anyone else’s copyright, and that it doesn’t contain libelous or offensive material. You also agree to indemnify the publisher against any claims arising from a breach of these warranties. This is a standard clause, but be sure you’ve thoroughly vetted your manuscript for potential legal issues.
Delivery and Acceptance of Manuscript
This section outlines the deadlines for delivering the manuscript and any supporting materials (e.g., cover art). It also specifies the publisher’s right to reject the manuscript if it doesn’t meet their standards. Be realistic about deadlines and ensure you can deliver a polished and professional product.
Editorial Control and Production
The contract should address the extent to which the publisher can make editorial changes to your manuscript. While some editing is necessary, you should have the right to approve significant changes. The contract should also cover production aspects like cover design, formatting, and ebook distribution.
Marketing and Promotion
This section outlines the publisher’s marketing and promotion obligations. What steps will they take to promote your ebook? Will they invest in advertising? Will they submit it for reviews? While guarantees are rare, a detailed marketing plan demonstrates the publisher’s commitment to your book.
Termination Clause
This clause specifies the circumstances under which either party can terminate the contract. Common reasons for termination include breach of contract, failure to publish within a specified timeframe, or bankruptcy of the publisher. You should also consider negotiating a termination clause that allows you to regain the rights if the ebook fails to meet certain sales targets.
Option Clause
This clause gives the publisher the first right to publish your next book. While it can be beneficial to have a continued relationship with a publisher, carefully consider the terms. Are you obligated to offer them your next book regardless of the terms they offer? Negotiate the clause to ensure it’s fair and doesn’t unduly restrict your options.
Governing Law
This clause specifies which state or country’s laws will govern the contract. Choose a jurisdiction that is convenient and familiar to you.
Amendments
This clause states that any changes to the contract must be in writing and signed by both parties.
Seek Legal Advice
Before signing any publishing contract, it’s highly recommended to consult with an attorney who specializes in publishing law. They can review the contract, explain the legal implications, and help you negotiate better terms. While legal advice may seem expensive, it can save you significant money and headaches in the long run.
In conclusion, an ebook publishing contract is a complex legal document that requires careful attention. By understanding the key clauses and seeking legal advice, you can protect your rights and ensure a successful publishing experience.
